Page Updated!
×
Your page has been updated and a back up was created for the previous version.
About
History
Mission & Vision
Congregations
New Worshipping Communities
Ministry Partners
Synod of the Northeast
Staff
Privacy Policy
Structure
Council
Trustees
Committe on Representation
Commision on Ministry
Commision on Preparation for Ministry
Ministry Resources Commission
Social Witness & Restorative Justice Committee
Gathering
Presbytery Meetings
Meeting Minutes & Documents
Events
Calendar
Archived Newsletters
Resources
Contact
Give
About
History
Mission & Vision
Congregations
New Worshipping Communities
Ministry Partners
Synod of the Northeast
Staff
Privacy Policy
Structure
Council
Trustees
Committe on Representation
Commision on Ministry
Commision on Preparation for Ministry
Ministry Resources Commission
Social Witness & Restorative Justice Committee
Gathering
Presbytery Meetings
Meeting Minutes & Documents
Events
Calendar
Archived Newsletters
Resources
Contact
Give
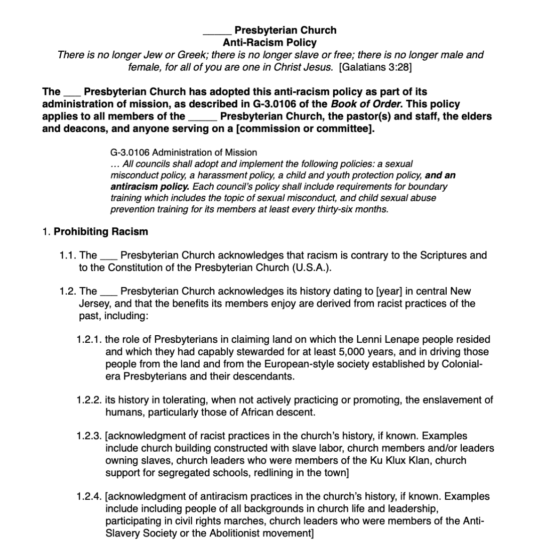
Antiracism Policy Template for Churches
Antiracism Policy Template for Churches
View Document
BACK
© Copyright 2026, Presbytery of the Coastlands, All Rights Reserved.
Top